Skip to content Skip to sidebar Skip to footer

Widget HTML #1

How To Calculate Molarity From Titration - Molarity is the most widely used unit and is denoted by m.

How To Calculate Molarity From Titration - Molarity is the most widely used unit and is denoted by m.. An example of a molarity calculation using the tocris molarity calculator. Calculate molarity from titration | titration. Similar to step one, calculating the molarity of the products entails setting up an equilibrium. Solution (using the step by step solution technique and moles): Learn about what a molarity is and how to calculate the molarity of a solution with an example calculation.

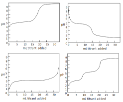
How to calculate molarity in a titration | sciencing. Ch 3 cooh (aq) + naoh. Use a graph called a titration curve to work out molarity, the concentration of a solution expressed as the number of moles of solute per litre of solution. Now how much volume of concentrated (1m) naoh solution be taken which contains 0.2 moles of naoh can be calculated as follows To calculate the molarity of a solution, you divide the moles of solute by the volume of the solution expressed in liters.

Determining Solute Concentration By Acid Base Titration Worked Example Video Khan Academy
Determining Solute Concentration By Acid Base Titration Worked Example Video Khan Academy from i.ytimg.com
How to calculate molarity from liters of solution? To calculate molarity, you may have to use conversion factors to move between units. How to calculate molarity in a titration | sciencing. Later calculate difference in burette and note how many ml of titrant is used. Nh = number of h + ions contributed per molecule of acid, ma = molarity of the acid, va = volume of the acid, noh calculate the molarity of an acetic acid solution if ml of this solution are needed to neutralize ml of m sodium hydroxide. Chemists deal with amounts of molecules every day. The molarity is obtained as moles of solute in 1 l (1000 ml) of solution. It is defined as the number of moles of the solute in 1 litre of the solution.

Determine how much titrant (the chemical you added to the analyte during the titration) you used to reach the equivalence point.

Mar 07, · how to calculate titrations? They allow a rapid assessment of the titration method. Use our titration calculator to determine the molarity of your solution. It will give you the atomic masses of the required elements to calculate the molar mass of the solute. Titration is a process used to calculate the molarity of an acid or base (standardising), using a base or an acid respectively with a known molarity (primary standard). Molarity is used by chemists to determine the density or titration of solutions. For example, if you're given the mass of a solute in grams, use the molar mass (usually rounded to two decimal places) of that solute to convert the given mass into moles. Titration curves illustrate the qualitative progress of a titration. The results of a titration can be used to calculate the concentration of a solution, or the volume of solution needed. How to calculate molarity in a titration | sciencing. How to use conversion factors to convert between grams and moles, and between milliliters and liters. This chemistry video tutorial explains how to calculate the ion concentration in solutions from molarity. Molarity is also known as molar concentration and measures the amount of substance or solute dissolved in a solution.

Molarity is the most widely used unit and is denoted by m. Mar 07, · how to calculate titrations? And also subsequent preparation of molar. It will give you the atomic masses of the required elements to calculate the molar mass of the solute. Molarity (m) is defined as the number of moles of solute present in per liter of solution.

Calculate The Molarity Of Kmno4 Solution Needed To Chegg Com
Calculate The Molarity Of Kmno4 Solution Needed To Chegg Com from d2vlcm61l7u1fs.cloudfront.net
Titration curves illustrate the qualitative progress of a titration. Similar to step one, calculating the molarity of the products entails setting up an equilibrium. How to calculate molarity from titration? Use our titration calculator to determine the molarity of your solution. Mass of a compound required to prepare a solution of known volume and. Calculate the molarity of a solution prepared by dissolving. Use a graph called a titration curve to work out molarity, the concentration of a solution expressed as the number of moles of solute per litre of solution. How to calculate molarity from liters of solution?

Therefore, the molarity is (300 g/34.01 g/mol) = 8.82 m.

How molarity is used to quantify the concentration of solute, and calculations related to molarity. Titration is a process used to calculate the molarity of an acid or base (standardising), using a base or an acid respectively with a known molarity (primary standard). Use a graph called a titration curve to work out molarity, the concentration of a solution expressed as the number of moles of solute per litre of solution. And also subsequent preparation of molar. Molarities of acidic and basic solutions are often used to convert back and forth between moles of solutes and volumes of their solutions, but how were a typical titration proceeds in the following way. Molarity is the most widely used unit and is denoted by m. How can i calculate molarity if concentration is given as percentage? Molarity is also known as molar concentration and measures the amount of substance or solute dissolved in a solution. Calculate the molarity of a solution prepared by dissolving 23.7 grams of kmno4 into enough water to make 750 ml of solution. The molarity is obtained as moles of solute in 1 l (1000 ml) of solution. How does molarity relate to concentration? Use our titration calculator to determine the molarity of your solution. How to calculate the molarity of 30% w/v h2o2 ?

A student is preparing for the acid base titration, he was standardized a hydrochloric acid solution by titrating it with 0.3023 g of primary standard sodium carbonate with methyl red as indicator, and boiling the carbonate solution near the end point to remove carbon dioxide. Calculate the molarity of a solution prepared by dissolving 23.7 grams of kmno4 into enough water to make 750 ml of solution. How to calculate molarity in a titration | sciencing. It was found that 13.01 ml of this solution was needed to reach the stoichiometric point in a titration of 29.7 ml of a nitric acid solution. How to calculate the molarity of 30% w/v h2o2 ?

Pdf Experiment 1 1 Simple Acid Base Titrations Molarity Amirul Izzat Academia Edu
Pdf Experiment 1 1 Simple Acid Base Titrations Molarity Amirul Izzat Academia Edu from 0.academia-photos.com
Therefore, the molarity is (300 g/34.01 g/mol) = 8.82 m. Use a graph called a titration curve to work out molarity, the concentration of a solution expressed as the number of moles of solute per litre of solution. Definitions of solution, solute, and solvent. By determining the molar mass of an element or compound, you can follow a few simple steps to figure out the solute's concentration level. Mar 07, · how to calculate titrations? Molarities of acidic and basic solutions are often used to convert back and forth between moles of solutes and volumes of their solutions, but how were a typical titration proceeds in the following way. Use our titration calculator to determine the molarity of your solution. How to calculate molarity in a titration | sciencing.

By determining the molar mass of an element or compound, you can follow a few simple steps to figure out the solute's concentration level.

It is defined as the number of moles of the solute in 1 litre of the solution. The molarity of the acid is given, so the number of moles titrated can be calculated the two should not be confused. How can i calculate molarity if concentration is given as percentage? Calculating molarity, solving for moles & grams, 4. Chemists deal with amounts of molecules every day. Molarity practice problems practice problems with molarity, calculate the moles and liters to find the molar concentration. Molarity is also known as molar concentration and measures the amount of substance or solute dissolved in a solution. How to use conversion factors to convert between grams and moles, and between milliliters and liters. How to calculate the molarity of 30% w/v h2o2 ? Once you have the molar mass, multiply the number of grams of solute by 1 over the molar mass to convert the grams into moles. How does molarity relate to concentration? Definitions of solution, solute, and solvent. Molarities of acidic and basic solutions are often used to convert back and forth between moles of solutes and volumes of their solutions, but how were a typical titration proceeds in the following way.